Babeeni Certificate
1. BABEENI - US Certificate of Registration


2. International Independent Assessment Certificate



3. Membership certificate , certified by Vietnam Textile & Apparel Association (VITAS) on May 25th, 2011

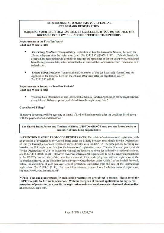
4. Certificate of Trademark

5. Alibaba rewarded a medal for 7 years of gold supplier

Alibaba.com is the most well-known B2B website in the world because it brings perfect advantages for not only sellers but also for buyers. It is the biggest business world for prestige companies and the destination for smart customers.
6. Babeeni Flame Retardant Fabric Intertek Certificate
7. OEKO-TEK CERTIFICATE





